download Bài tập bất đẳng thức Lớp 9, File DOC

Bài tập bất đẳng thức

 Lớp 9, File DOC

Download Bài tập bất đẳng thức - Tài liệu ôn tập môn Toán lớp 9, lên lớp 10 mới nhất

Thu Hà  cập nhật: 25/09/2017

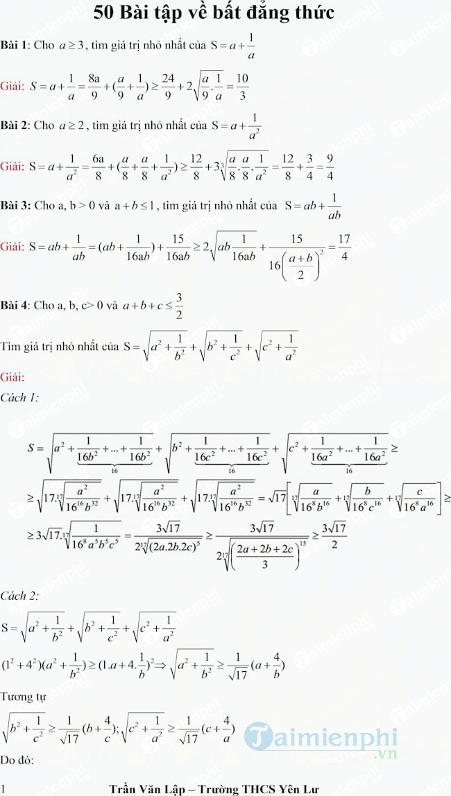
Tổng hợp 50 bài tập bất đẳng thức có đáp án là tài liệu ôn tập môn Toán lớp 9, lên lớp 10. Bất đẳng thức là một dạng toán khó và là kiến thức trọng tâm trong kiến thức Toán 9 vì thế việc ôn tập và nâng cao kỹ năng làm các bài tập toán về bất đẳng thức là rất cần thiết.

Để hỗ trợ các em học sinh ôn luyện dạng toán về bất đẳng thức thì 50 bài tập bất đẳng thức có đáp án sẽ là tài liệu mà các em không thể bỏ qua. Các bài tập được ra dưới rất nhiều dạng khác nhau, sau mỗi đề bài đều có đáp án kèm theo rất chi tiết, giúp các em học sinh có thể tự học, tự rèn luyện tại nhà rất hiệu quả và chủ động.

50 bài tập về bất đẳng thức có đáp án

Download 50 bài tập bất đẳng thức có đáp án - Tài liệu ôn tập môn Toán lớp 9, lên lớp 10 bất đẳng thức

Ngoài ra, các thầy cô giáo ôn tập môn Toán 9 cũng có thể lưu lại 50 bài tập về bất đẳng thức có đáp án để làm tư liệu giảng dạy trong quá trình hỗ trợ, bồi dưỡng kiến thức cho các em học sinh trước kì thi quan trọng sắp tới. Qua việc cho các em học sinh thực hành làm các bài tập này, các thầy cô có thể dễ dàng xác định được năng lực kiến thức của các em học sinh về bất đẳng thức một cách chính xác nhất để điều chỉnh phương pháp giảng dạy sao cho phù hợp.

Hơn thế nữa, khi thực hành làm bài tập về bất đẳng thức qua 50 bài tập về bất đẳng thức có đáp án, các em học sinh sẽ nâng cao được kỹ năng giải bài tập bất đẳng thức của mình. Điều này sẽ giúp các em tự tin hơn khi chinh phục các đề bài toán về bất đẳng thức và giúp các em đạt được thành tích cao trong kì thi xét tuyển vào 10 môn Toán sắp tới.

Ngoài 50 bài tập về bất đẳng thức có đáp án để học tốt môn Toán cho các em học sinh lớp 9 thì tài liệu bài tập tiếng Anh 9 cũng là một trong những tài liệu ôn tập học tốt môn tiếng anh rất hay mà các em học sinh lớp 9 có thể lưu lại để tham khảo, bài tập tiếng Anh 9 được xây dựng bao gồm cả các bài tập cơ bản và nâng cao, có đáp án kèm theo, sẽ hỗ trợ các em học sinh nâng cao kỹ năng làm bài tập tiếng anh của mình.


Liên kết tải về - [450 KB]

Bấm vào [Link File] để tải về phần mềm, hoặc tải phiên bản phù hợp phía dưới

Liên kết dự phòng:
Các phiên bản khác



Bài viết liên quan

  • Giải bài tập trang 63 SGK Toán 7 Tập 2
    Chia sẻ bởi: Nguyễn Thành Nam - NTN
    Giải bài tập trang 63 SGK Toán 7 Tập 2 - Quan hệ giữa ba cạnh của một tam giác. Bất đẳng thức tam giác là tài liệu hữu ích cho quá trình học tập của các em học sinh lớp 7. Giải Toán lớp 7 với đầy đủ những nội dung hướng dẫn cùng với bài giải bài tập về quan hệ giữa ba cạnh của một tam giác cùng với bất đẳng thức tam giác được tính ra sao. Để hiểu rõ hơn về nội dung bài học cùng với xử lý bài tập dễ dàng mời các bạn cùng tham khảo và ứng dụng cho quá trình học tập tốt nhất.
  • Giải bài tập trang 106, 107 SGK Đại Số 10
    Chia sẻ bởi: Hoàng Bách
    Với mục đích củng cố kiến thức về bất đẳng thức và bất phương trình hiệu quả các bạn học sinh lớp 10 có thể tham khảo cách giải bài tập trang 106, 107 SGK Đại Số 10 - Ôn tập chương 4, Bất đẳng thức, bất phương trình để ứng dụng cho quá trình học tập và củng cố kiến thức tốt hơn. Hi vọng với những kiến thức này việc giải toán lớp 10 sẽ được diễn ra nhanh chóng và chính xác hơn
  • Giải bài tập trang 79 SGK Đại Số 10
    Tài liệu học tập giải toán lớp 10 với hướng dẫn giải bài tập trang 79 SGK Đại Số 10 - Bất đẳng thức sẽ giúp các bạn học sinh nắm bắt được đầy đủ nội dung về bất đẳng thức. Cùng với đó hệ thống bài
  • Giải bài tập trang 99 SGK Đại Số 10
    Ở những bài viết trước chúng ta đã cùng nhau tìm hiểu thế nào là bất phương trình, bất phương trình bậc nhất một ẩn, bài ngày hôm nay chúng ta cùng tìm hiểu về bất phương trình bậc nhất hai ẩn cùng
  • Giải bài tập trang 59, 60 SGK Toán 7 Tập 2
    Trong bài viết trước chúng ta đã tìm hiểu về giải toán lớp 7: Quan hệ giữa góc và cạnh đối diện trong một tam giác bài học hôm nay chúng ta cùng nhau tìm hiểu thêm về Giải bài tập trang 59, 60 SGK
  • Giải bài tập trang 87, 88 SGK Đại Số 10
    Giải bài tập trang 87, 88 SGK Đại Số 10 - Bất phương trình và hệ bất phương trình một ẩn là tài liệu hữu ích dành cho các bạn học sinh lớp 10 cùng tìm hiểu và giải bài tập Bất phương trình và hệ bất
  • Giải toán lớp 12 trang 129, 130 SGK Giải Tích
    Chia sẻ bởi: Duy Thành
    Bài trước chúng ta đã cùng nhau tìm hiểu các nội dung về Phương trình mũ. Phương trình Lôgarit, bài ngày hôm nay chúng ta tiếp tục với các cách giải bài Bất phương trình mũ và Lôgarit. Với tài liệu Giải Toán lớp 12 được trình bày với đầy đủ những hướng dẫn chi tiết và các bài giài bài tập dễ hiểu chắc chắn là tài liệu giúp các em học sinh lớp 12 trau dồi kiến thức toán học tốt nhất.
  • Giải bài tập trang 10, 11 SGK Toán 9 Tập 1
    Chia sẻ bởi: Phạm Nhất Vương
    Bài hướng dẫn Giải bài tập trang 10, 11 SGK Toán 9 Tập 1 - Căn thức bậc hai và hằng đẳng thức căn A mũ hai bằng giá trị tuyệt đối của A với đầy đủ những nội dung kiến thức và hỗ trợ giải câu 6 đến 15 dễ dàng và hiệu quả hơn. Qua tài liệu giải toán lớp 9 này chắc chắn sẽ hỗ trợ quá trình học tập và làm toán của các em học sinh trở nên hiệu quả nhất.
  • Giải bài tập trang 47, 48 SGK Toán 8 Tập 2
    Chia sẻ bởi: Nguyễn Cảnh Nam
    Ở bài trước chúng ta đã cùng nhau tìm hiểu về bất phương trình một ẩn, vậy kiến thức về bất phương trình bậc nhất một ẩn như thế nào và cách giải bài tập trang 47, 48 SGK Toán 8 Tập 2 bất phương trình bậc nhất một ẩn ra sao bài hôm nay chúng ta sẽ cùng tìm hiểu. Tài liệu giải Toán lớp 8 chủ đề bất phương trình bậc nhất một ẩn được cập nhật với đầy đủ hệ thống các bài giải chi tiết và hướng dẫn cụ thể chắc chắn đem lại sự tiện lợi cho các bạn học sinh cũng như thầy cô giáo.
  • Giải bài tập trang 43 SGK Toán 8 Tập 2
    Giải bài tập trang 43 SGK Toán 8 Tập 2 - Bất phương trình một ẩn là một trong số những tài liệu hữu ích dành cho các bạn học sinh lớp 8 ứng dụng cho quá trình ôn luyện và củng cố kiến thức dễ dàng và
  • Giải bài tập trang 55, 56 SGK Toán 7 Tập 2
    Ở những bài trước chúng ta đã tìm hiểu về Giải Toán lớp 7 phần đại số hôm nay chúng ta cùng nhau chuyển sang phần hình học với nội dung Giải bài tập trang 55, 56 SGK Toán 7 Tập 2 - Quan hệ giữa góc
  • Điểm chuẩn Cao đẳng sư phạm Vĩnh Phúc 2022
    Chia sẻ bởi: Nguyễn Long Thịnh
    Năm 2021, Điểm chuẩn Cao đẳng sư phạm Vĩnh Phúc lấy 15 điểm ở tất cả các ngành học dựa trên cả hai phương thức xét tuyển kết quả thi THPT và học bạ lớp 12. Dự đoán mức điểm chuẩn năm 2022 của trường sẽ không có nhiều sự thay đổi, chênh lệch lớn so với năm trước.
  • Giải toán lớp 8 trang 19, 20, 21, 22 sách CTST tập 1, Hằng đẳng thức đáng nhớ
    Chia sẻ bởi: Phí Quỳnh Anh
    Để nắm được cách viết các biểu thức thành đa thức; viết các biểu thức thành bình phương của một tổng mời các em cùng tham khảo tài liệu Giải toán lớp 8 trang 19, 20, 21, 22 sách CTST tập 1 - Bài 3: Hằng đẳng thức đáng nhớ do đội ngũ Taimienphi biên soạn.
Bài tập bất đẳng thức - Kho hình ảnh
 Thông tin giới thiệu, hướng dẫn sử dụng phần mềm Bài tập bất đẳng thức được biên soạn nhằm giúp bạn có thêm thông tin tham khảo, việc daoloat bài tập bất đẳng thức là hoàn toàn miễn phí, bạn có thể chi tiết nội dung tại mục "Điều khoản".

Các phiên bảnHướng dẫn

   Tải về

Bài tập bất đẳng thức Lớp 9, File DOC

Bấm vào file dưới
Để cài phần mềm